“Alien vs. Predator”… or in other words “Silica vs. Alumina”

Have you ever had one of those peculiar moments when you relate in your mind something scientific and work-related with something totally irrelevant?
My colleagues at Büchi and I find ourselves often discussing the use and role of well-known stationary phases in flash chromatography and usually it all boils down to comparing Silica vs. Alumina. Ask me why, I do not know, but every now and then, I have to smile because the first image coming to my mind in that very moment is the “Alien vs. Predator” movie poster. My second reaction is to try to hide the amusement on my face, of course, but that’s a story for a different day …
If you think about it, though, they do have similarities. The common thing between the phases and the movie is the clear dominance of one of the species. Still, they both have their special “traits” which make them unique and “suitable for use” under different conditions.
This vivid picture has been stuck in my mind and does not want to leave…
It was the first week of the New Year and I was in the lab comparing performance parameters of the new product range of flash chromatography cartridges which we launched in May last year when another discussion regarding the two stationary phases was on its way. This conversation inspired me to share with you our thoughts and give you a valuable piece of information that you might put into use in your daily working life.
While in the movie the Predator is depicted as the absolute enemy of the Alien, in real life Silica and Alumina are closer to complementary stationary phases rather than complete opponents. In most of the cases, whether you pick Silica over Alumina depends on the application you need to conduct.
The most commonly used stationary phase for separation of polar compounds in flash chromatography is Silica.
I am sure it doesn’t come as a surprise to any of us. The stationary phase has a long history and tradition and hence there are numerous sources with information and knowledge available at just one click.
We decided to launch a flash chromatography user survey in 2016 to see how comfortable users feel with using Silica. More than 300 flash users took part in the survey from 33 countries around the globe. The results confirmed the dominance of Silica over Alumina. 92% of the survey participants chose Silica as the stationary phase, which they use on a more frequent base.
Where does Alumina then come in the picture?
There is no argue that Silica has numerous advantages as a polar stationary phase like for instance its high loading capacity or mechanical stability. However, the material is slightly acidic in nature, triggered by the acidic hydroxyl groups of the silanols on its surface. Those can decompose acid sensitive compounds, such as dyes, and make their separation impossible.
The user can overcome this hurdle by using Alumina.
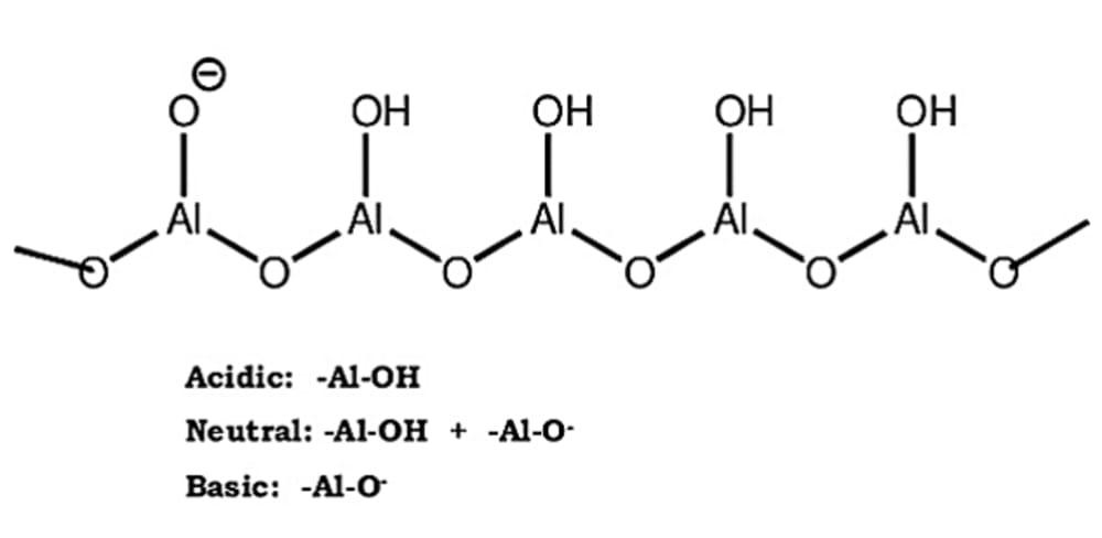
The second most popular polar stationary phase according to 9% of the survey participants who picked Alumina as the most commonly used polar stationary phase in their applications. The loading capacity of Alumina (140-170 m2/g) is lower than the loading capacity of Silica (400-500 m2/g). Nonetheless, it has amphoteric properties and is therefore available in three different types: neutral, acidic and basic.

The neutral type of Alumina allows purifying in a pH neutral environment, useful for acid or also basic sensitive compounds.
Learn more about the purification of water-soluble fluorescent dyes for which Alumina was used to ensure maximum separation quality.
While Silica has proven to be the most widely used polar stationary phase, we see that Alumina also has an important field of application.
Acidic and basic Alumina are useful for the purification of compounds that feature acidic or basic moieties, which interact with the Silanol groups and lead to peak tailing or can even lead to an irreversible adsorption on Silica.
As a further matter, users typically add pH modifiers (e.g. TEA or AcOH) to their solvents, to stabilize the retention and the selectivity. This implies purging of the system and risk of contamination. With acidic or basic Alumina the separation can be run without any modifier and therefore makes the whole process considerable easier.
The Silica vs. Alumina dilemma might not find its end with this post but at least we saw how both polar phases complement each other depending on the specific application type.
I hope you enjoyed reading!
If you have questions, which you would like me to write about on the blog, feel free to fill in the comments.
Take care and until next time,
