Don’t get salty about your separations. Develop flash and prep HPLC applications to purify a range of compounds.

I was preparing dinner for my family over the weekend when disaster struck. I was making a red wine sauce to accompany the meal but made the fatal error of adding salt too early in the process. It tasted fine when I added it, but once the sauce had reduced, the saltiness intensified. How could I now remove salt from the sauce to rescue the dish? My mind wandered to chromatography; the process used to separate a mixture’s components. The guiding principle is simple – the compounds in a solution will separate from each other due to polarity differences. I began thinking of how I could rescue my sauce using modern chromatography techniques. As my mind wandered, the sauce continued to reduce and bubble away, I realized that chromatography was probably a little over the top for my situation. Instead, I added water to dilute the sauce and some vinegar – as the acid helps balance out saltiness. Success, the sauce had been saved!
Not long after the meal, my mind returned to purification and separation techniques, particularly flash and prep HPLC chromatography, as they have become the choice method for many applications. Although these techniques are fundamental in chemistry, they remain elusive as no universal approaches work for all samples. A huge variety of compounds are of interest to different industries, and their properties vary greatly. Luckily for us, years of experience have defined purification conditions that work best for different molecule groups. So, if you are fretting about mobile or stationary phases, lost when it comes to sample loading, or distraught by detection methods – don’t get salty and follow this guide to Flash & Prep HPLC for a range of compounds.
The first stage is the Mobile Phase; the solvent in which your sample is soluble. Next is the Stationary Phase which retains your target compound. There are two types of chromatography applicable here, normal phase (NP) and reversed phase (RP) chromatography: For an in-depth explanation of these, see my previous blog post on the subject. The next consideration is sample loading, where you determine whether the sample is injected as a liquid. The last step is detection and involves understanding if the compound is chromophoric. This will dictate which detection method will work best for any given compound. To aid in the development of flash and prep HPLC applications, I shall give an overview of the compound groups that cover most use cases.
Proteins and peptides
Proteins consist of amino acids, and in a solution, form highly organized three-dimensional structures closely related to their biological function. Peptides are smaller versions of proteins containing 2-50 amino acids.

With regards to the mobile phase, they are mostly soluble in water. RP chromatography works well for peptides or small, more stable proteins, which refold after purification. This requires water mixtures with less polar solvent, such as acetonitrile, isopropanol, or ethanol. Acetonitrile is the most popular solvent here as it is volatile and easily removed from the collected fraction; it also has low viscosity and low UV absorption. For peptide separations, traditionally trifluoroacetic acid (TFA) is added to the mobile phase for pH control (buffering) and ion pairing (forming complexes with oppositely charged ionic groups to enhance retention).
The stationary phase is chosen based on the sample’s molecular weight and polarity. Prep HPLC is the preferred purification method since small particle sizes allow the separation of similar compounds. For prep HPLC the sample must be loaded as a liquid. For hydrophobic mixtures, use lower-polar solvents (acetonitrile). Use ethanol or isopropanol for hydrophilic samples. For highly hydrophilic compounds, you can add dimethyl sulfoxide (DMSO) or dimethylformamide (DMF) as an injection solvent; this makes the sample soluble in a minimal volume. Flash chromatography can be used if solid loading is required.
UV absorption spectroscopy is commonly used for detection, measuring absorbance at 280 nm. This wavelength has proven especially useful since the molar absorptivity (extinction coefficient) at 280 nm can be predicted directly from a protein sequence; this is only applicable to proteins containing tryptophan or tyrosine residues. If low or no aromatic acids are present, a wavelength of 205 nm is used due to the nature of the bond.
Vitamins
Due to the varied nature of vitamins, a wide range of purification methods are used, luckily I have gone into detail about this in a previous blog post.
Natural products/ extracts
Living organisms, such as plants, microbes, or animals, produce these chemical structures by primary or secondary metabolism pathways. Primary metabolites are required for an organism’s growth, and secondary metabolites are the end products of primary metabolites.

Solvent choice is based on the type of extraction solvent. If purified by NP, use hexane, dichloromethane (DCM), ethyl acetate (EtAc), or other non-water miscible solvent extracts. RP calls for alcohol and water extracts. For the stationary phase, all NP (Silica, Diol, Amino) and RP phases (C18) can be used.
Natural extracts are highly complex and often require a combination of separation techniques: Flash chromatography as a pre-purification step at a sufficient resolution and prep HPLC to achieve a higher resolution.
Sample loading depends on the volume of the natural extract mixture, which is typically high. The sample can be injected as a liquid manually on the flash cartridge or via an injection pump if capacity exceeds that of a syringe. For very large volumes, solid loading is recommended by absorbing the sample first on a support material. There is a risk of band broadening resulting in a reduced resolution with very large volumes. Pre-purified extraction samples can be further separated on a prep HPLC column.
The structural diversity of these samples calls for a combination of detection methods. A full detection requires a UV detector and an Evaporative Light Scattering Detector (ELSD). For NP chromatography, it is recommended to use a Diode Array Detector (DAD) to monitor absorption.
Lipids
Lipids include fats, oils, waxes, phospholipids, and steroids. They are soluble in organic solvents and not water. Like vitamins, they are also highly versatile, and I have written about them in depth for a previous blog.
Carbohydrates
Carbohydrates can be divided into low molecular weight (mono- and disaccharides) and more complex heavier carbohydrates (oligo- and polysaccharides).
Monosaccharide (Glucose)

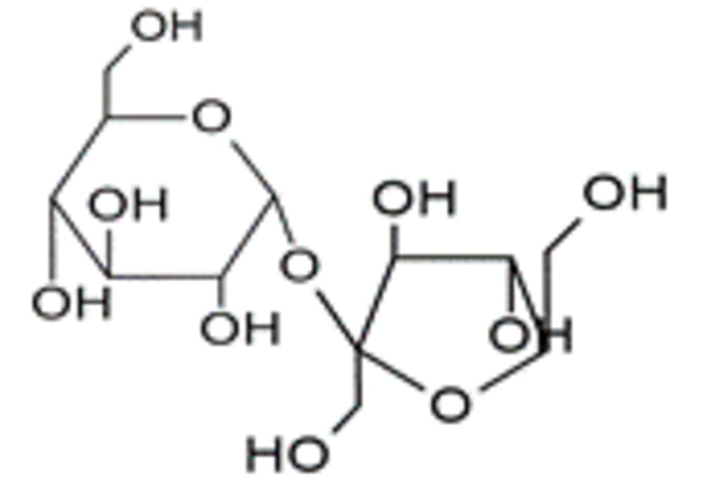
Disaccharide (Sucrose)

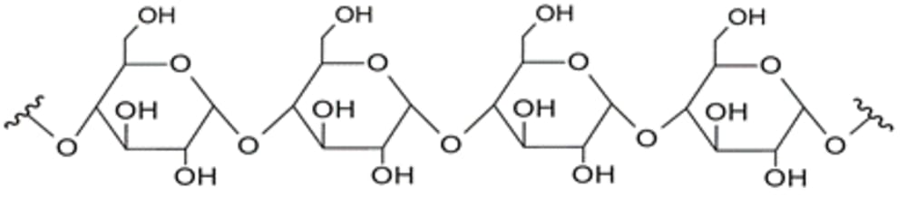
Polysaccharide (amylose starch)

Carbohydrates are hydrophilic and, therefore, water mixtures, typically in combination with acetonitrile, are used as solvents. Under these RP conditions, using C18 for the stationary phase can lead to low retention of highly polar carbohydrates. Instead, amino has been proven to be the most suitable choice as it is less non-polar than C18.
Carbohydrates are typically soluble in the starting condition of the RP method. Liquid loading to the column or cartridge is the first choice. Compounds are injected as a water mixture.
Carbohydrates, like lipids, lack chromophores; nowadays, ELSD is the leading detection method. Traditionally a refractive index (RI) was used, as was low-wavelength UV (190 – 205 nm), and post-purification analyses by thin-layer chromatography.
Small molecule drugs
These are pharmaceuticals defined as organic compounds, often manufactured by chemical synthesis. They have a low molecular weight and a basic chemical structure with typical masses between 0.1 and 1 kDa.
Flash and Prep HPLC are often used in combination utilizing both NP and RP conditions. Often the objective with small molecule drugs is to use RP as it is crucial for them to be water-soluble. NP should only be used if RP is not possible.
| PRO | CON | |
|---|---|---|
| Normal-Phase (NP) | ||
| Mobile Phase | Organic solvents can be easily evaporated after separation | Organic solvents are more expensive and feature safety and environmental concerns |
| Stationary Phase | Silica media is cheap | Silica media is only suitable for single use |
| Reversed-Phase (RP) | ||
| Mobile Phase | Water/ alcohol mixtures are rather cheap | Water needs a long time for concentration (evaporation) |
| Stationary Phase | Bonded Silica (C18) can be used multiple times | Bonded Silica (C18) is rather expensive |
The choice for sample loading depends on the compound’s polarity and chosen purification technique. Column or cartridge loading as a liquid or a solid (flash chromatography only). Liquid loading is the first choice, but in cases where the compound doesn’t show solubility in the starting solvents, a solid sample is required.
UV Detection is the number one choice as most small molecule drugs absorb UV; however, in some cases, NP solvents interfere with compounds absorbing very low UV wavelengths – or compounds are UV inactive. Other molecules also tend to be semi-volatile. For these, use ELSD, but only under ambient temperature conditions, as evaporation of the target compound along with the solvent can occur, resulting in reduced detectability.
So, there you have it. A range of applications for flash and prep HPLC that should ensure your purifications are a success no matter what compound you start with. No need to be salty, bitter, or sour. Sweet!
Till next time,
